ExcelデータをCプログラムに読み込ませるデータ形式に変換する


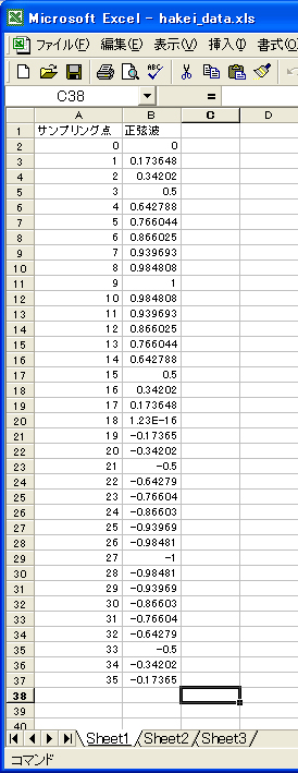
以下のように,サンプリング点数とそのサンプリング幅を1周期とする正弦波のデータをExcel上で作成する.

次に,データのみが存在する範囲をカットして,Sheet2に貼り付ける.

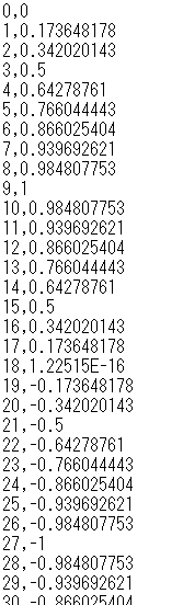
Sheet2において,貼り付けたデータを保存します.このとき,ファイルの種類をCSV(カンマ区切り)形式にしておきます.
このとき,保存先は,Z:ドライブ(UNIXと共有)にしておいてください.セーブされたデータをUNIX上のエディタで内容を確認すると,
Excelデータがカンマで区切られたテキストデータになっているのが確認できます.


〒639-1080 大和郡山市矢田町22
奈良工業高等専門学校 情報工学科 
教授  松尾 賢一
E-mail:matsuo□info.nara-k.ac.jp
(巡回ロボット対策のため,□を@に変えてください)